In earlier grades we learnt about number patterns, which included linear sequences with a common difference and quadratic sequences with a common second difference. We also looked at completing a sequence and how to determine the general term of a sequence.
In this chapter we also look at geometric sequences, which have a constant ratio between consecutive terms. We will learn about arithmetic and geometric series, which are the summing of the terms in sequences.
Arithmetic sequences
An arithmetic sequence is a sequence where consecutive terms are calculated by adding a constant value (positive or negative) to the previous term. We call this constant value the common difference (d).
For example,
3;0;−3;−6;−9;…
This is an arithmetic sequence because we add −3 to each term to get the next term:
Table 1
First term
T1
3
Second term
T2
3+(−3)=
0
Third term
T3
0+(−3)=
−3
Fourth term
T4
−3+(−3)=
−6
Fifth term
T5
−6+(−3)=
−9
⋮
⋮
⋮
⋮
Exercise 1: Arithmetic sequences
Find the common difference and write down the next 3 terms of the sequence.
2;6;10;14;18;22;…
−1;−4;−7;−10;−13;−16;…
−5;−3;−1;1;3;…
−1;10;21;32;43;54;…
a−3b;a−b;a+b;a+3b;…
−2;−32;−1;−12;0;12;1;…
Answer 1
Answer 2
Answer 3
Answer 4
The general term for an arithmetic sequence
For a general arithmetic sequence with first term a and a common difference d, we can generate the following terms:
Therefore, the general formula for the n term of an arithmetic sequence is:
Tn=a+(n−1)d
Definition 1: Arithmetic sequence
An arithmetic (or linear) sequence is an ordered set of numbers (called terms) in which each new term is calculated by adding a constant value to the previous term:
Tn=a+(n−1)d
where
Tn is the n term;
n is the position of the term in the sequence;
a is the first term;
d is the common difference.
Test for an arithmetic sequence
To test whether a sequence is an arithmetic sequence or not, check if the difference between any two consecutive terms is constant:
d=T2−T1=T3−T2=…=Tn−Tn−1
If this is not true, then the sequence is not an arithmetic sequence.
Hey! I am first heading line feel free to change me
Example 1: Arithmetic sequence
Question
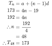
Given the sequence −15;−11;−7;…173.
Is this an arithmetic sequence?
Find the formula of the general term.
Determine the number of terms in the sequence.
Answer 1
Check if there is a common difference between successive terms
Answer 2
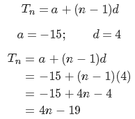
Determine the formula for the general term
Write down the formula and the known values:
A graph was not required for this question but it has been included to show that the points of the arithmetic sequence lie in a straight line.
Note: The numbers of the sequence are natural numbers (n∈{1;2;3;…}) and therefore we should not connect the plotted points. In the diagram above, a dotted line has been used to show that the graph of the sequence lies on a straight line.
Answer 3
Determine the number of terms in the sequence
Write the final answer
Therefore, there are 48 terms in the sequence.
Arithmetic mean
The arithmetic mean between two numbers is the number half-way between the two numbers. In other words, it is the average of the two numbers. The arithmetic mean and the two terms form an arithmetic sequence.
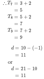
For example, the arithmetic mean between 7 and 17 is calculated:
Plotting a graph of the terms of a sequence sometimes helps in determining the type of sequence involved. For an arithmetic sequence, plotting Tn vs. n results in the following graph:
If the sequence is arithmetic, the plotted points will lie in a straight line.
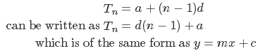
Arithmetic sequences are also called linear sequences, where the common difference (d) is the gradient of the straight line.
Definition 2: Quadratic sequence
A quadratic sequence is a sequence of numbers in which the second difference between any two consecutive terms is constant.
The general formula for the n term of a quadratic sequence is:
It is important to note that the first differences of a quadratic sequence form an arithmetic sequence. This sequence has a common difference of 2a between consecutive terms. In other words, a linear sequence results from taking the first differences of a quadratic sequence.
Arithmetic sequences
In earlier grades we learnt about number patterns, which included linear sequences with a common difference and quadratic sequences with a common second difference. We also looked at completing a sequence and how to determine the general term of a sequence.
In this chapter we also look at geometric sequences, which have a constant ratio between consecutive terms. We will learn about arithmetic and geometric series, which are the summing of the terms in sequences.
Arithmetic sequences
An arithmetic sequence is a sequence where consecutive terms are calculated by adding a constant value (positive or negative) to the previous term. We call this constant value the common difference (d).
For example,
This is an arithmetic sequence because we add −3 to each term to get the next term:
First term
T1
3
Second term
T2
3+(−3)=
0
Third term
T3
0+(−3)=
−3
Fourth term
T4
−3+(−3)=
−6
Fifth term
T5
−6+(−3)=
−9
⋮
⋮
⋮
⋮
Exercise 1: Arithmetic sequences
Find the common difference and write down the next 3 terms of the sequence.
Answer 1
Answer 2
Answer 3
Answer 4
The general term for an arithmetic sequence
For a general arithmetic sequence with first term a and a common difference d, we can generate the following terms:
Therefore, the general formula for the n term of an arithmetic sequence is:
Tn=a+(n−1)d
Definition 1: Arithmetic sequence
An arithmetic (or linear) sequence is an ordered set of numbers (called terms) in which each new term is calculated by adding a constant value to the previous term:
Tn=a+(n−1)d
where
Tn is the n term;
n is the position of the term in the sequence;
a is the first term;
d is the common difference.
Test for an arithmetic sequence
To test whether a sequence is an arithmetic sequence or not, check if the difference between any two consecutive terms is constant:
d=T2−T1=T3−T2=…=Tn−Tn−1
If this is not true, then the sequence is not an arithmetic sequence.
Hey! I am first heading line feel free to change me
Example 1: Arithmetic sequence
Question
Given the sequence −15;−11;−7;…173.
Answer 1
Check if there is a common difference between successive terms
Answer 2
Determine the formula for the general term
Write down the formula and the known values:
A graph was not required for this question but it has been included to show that the points of the arithmetic sequence lie in a straight line.
Note: The numbers of the sequence are natural numbers (n∈{1;2;3;…}) and therefore we should not connect the plotted points. In the diagram above, a dotted line has been used to show that the graph of the sequence lies on a straight line.
Answer 3
Determine the number of terms in the sequence
Write the final answer
Therefore, there are 48 terms in the sequence.
Arithmetic mean
The arithmetic mean between two numbers is the number half-way between the two numbers. In other words, it is the average of the two numbers. The arithmetic mean and the two terms form an arithmetic sequence.
For example, the arithmetic mean between 7 and 17 is calculated:
Plotting a graph of the terms of a sequence sometimes helps in determining the type of sequence involved. For an arithmetic sequence, plotting Tn vs. n results in the following graph:
Definition 2: Quadratic sequence
A quadratic sequence is a sequence of numbers in which the second difference between any two consecutive terms is constant.
The general formula for the n term of a quadratic sequence is:
It is important to note that the first differences of a quadratic sequence form an arithmetic sequence. This sequence has a common difference of 2a between consecutive terms. In other words, a linear sequence results from taking the first differences of a quadratic sequence.
-
Add a note